产品可靠性科普中国-科学百科 2019-02-18 作者:李嘉骞 |
元件、产品、系统在一定时间内、在一定条件下无故障地执行指定功能的能力或可能性。可通过可靠度、失效率、平均无故障间隔等来评价产品的可靠性。
简介
根据国家标准GB-6583的规定,环境可靠性是指:产品在规定的条件下、在规定的时间内完成规定的功能的能力。产品在设计、应用过程中,不断经受自身及外界气候环境及机械环境的影响,而仍需要能够正常工作,这就需要用试验设备对其进行验证,这个验证基本分为研发试验、试产试验、量产抽检三个部分。
一般所说的“可靠性”指的是“可信赖的”或“可信任的”。我们说一个人是可靠的,就是说这个人是说得到做得到的人,而一个不可靠的人是一个不一定能说得到做得到的人,是否能做到要取决于这个人的意志、才能和机会。同样,一台仪器设备,当人们要求它工作时,它就能工作,则说它是可靠的;而当人们要求它工作时,它有时工作,有时不工作,则称它是不可靠的。
对产品而言,可靠性越高就越好。可靠性高的产品,可以长时间正常工作(这正是所有消费者需要得到的);从专业术语上来说,就是产品的可靠性越高,产品可以无故障工作的时间就越长。
简单的说,狭义的“可靠性”是产品在使用期间没有发生故障的性质。例如一次性注射器,在使用的时间内没有发生故障,就认为是可靠的;再如某些一旦发生故障就不能再次使用的产品,日光灯管就是这类型的产品,一般损坏了只能更换新的。
从广义上讲,“可靠性”是指使用者对产品的满意程度或对企业的信赖程度。而这种满意程度或信赖程度是从主观上来判定的。为了对产品可靠性做出具体和定量的判断,可将产品可靠性可以定义为在规定的条件下和规定的时间内,元器件(产品)、设备或者系统稳定完成功能的程度或性质。例如,汽车在使用过程中,当某个零件发生了故障,经过修理后仍然能够继续驾驶。
产品实际使用的可靠性叫做工作可靠性。工作可靠性又可分为固有可靠性和使用可靠性。固有可靠性是产品设计制造者必须确立的可靠性,即按照可靠性规划,从原材料和零部件的选用,经过设计、制造、试验,直到产品出产的各个阶段所确立的可靠性。使用可靠性是指已生产的产品,经过包装、运输、储存、安装、使用、维修等因素影响的可靠性。
要素
可靠性包含了耐久性、可维修性、设计可靠性三大要素。
耐久性:产品使用无故障性或使用寿命长就是耐久性。例如,当空间探测卫星发射后,人们希望它能无故障的长时间工作,否则,它的存在就没有太多的意义了,但从某一个角度来说,任何产品不可能100%的不会发生故障。
可维修性:当产品发生故障后,能够很快很容易的通过维护或维修排除故障,就是可维修性。像自行车、电脑等都是容易维修的,而且维修成本也不高,很快的能够排除故障,这些都是事后维护或者维修。而像飞机、汽车都是价格很高而且非常注重安全可靠性的要求,这一般通过日常的维护和保养,来大大延长它的使用寿命,这是预防维修。产品的可维修性与产品的结构有很大的关系,即与设计可靠性有关。
设计可靠性:这是决定产品质量的关键,由于人——机系统的复杂性,以及人在操作中可能存在的差错和操作使用环境的这种因素影响,发生错误的可能性依然存在,所以设计的时候必须充分考虑产品的易使用性和易操作性,这就是设计可靠性。一般来说,产品的越容易操作,发生人为失误或其他问题造成的故障和安全问题的可能性就越小;从另一个角度来说,如果发生了故障或者安全性问题,采取必要的措施和预防措施就非常重要。例如汽车发生了碰撞后,有气囊保护。1
定义
产品、系统在规定的条件下,规定的时间内,完成规定功能的能力称为可靠性。
这里的产品可以泛指任何系统、设备和元器件。产品可靠性定义的要素是三个“规定”:“规定条件”、“规定时间”和“规定功能”。
“规定条件”包括使用时的环境条件和工作条件;例如同一型号的汽车在高速公路和在崎岖的山路上行驶,其可靠性的表现就不大一样,要谈论产品的可靠性必须指明规定的条件是什么。
“规定时间”是指产品规定了的任务时间;随着产品任务时间的增加,产品出现故障的概率将增加,而产品的可靠性将是下降的。因此,谈论产品的可靠性离不开规定的任务时间。例如,一辆汽车在在刚刚开出厂子,和用了5年后相比,它出故障的概率显然小了很多。
“规定功能”是指产品规定了的必须具备的功能及其技术指标。所要求产品功能的多少和其技术指标的高低,直接影响到产品可靠性指标的高低。例如,电风扇的主要功能有转叶,摇头,定时,那么规定的功能是三者都要,还是仅需要转叶能转能够吹风,所得出的可靠性指标是大不一样的。
可靠性的评价可以使用概率指标或时间指标,这些指标有:可靠度、失效率、平均无故障工作时间、平均失效前时间、有效度等。典型的失效率曲线是浴盆曲线,其分为三个阶段:早期失效期、偶然失效期、耗损失效期。早期失效期的失效率为递减形式,即新产品失效率很高,但经过磨合期,失效率会迅速下降。偶然失效期的失效率为一个平稳值,意味着产品进入了一个稳定的使用期。耗损失效期的失效率为递增形式,即产品进入老年期,失效率呈递增状态,产品需要更新。提高可靠性的措施可以是:对元器件进行筛选;对元器件降额使用,使用容错法设计(使用冗余技术),使用故障诊断技术等。可靠性主要包括电路可靠性及元器件的选型有必要时用一定仪器检测。
测试
可靠性试验是对产品进行可靠性调查、分析和评价的一种手段。试验结果为故障分析、研究采取的纠正措施、判断产品是否达到指标要求提供依据。进行可靠性测试的机构有:一通检测实验室等
根据可靠性统计试验所采用的方法和目的,可靠性统计试验可以分为可靠性验证试验和可靠性测定试验。可靠性测定试验是为测定可靠性特性或其量值而做的试验,通常用来提供可靠性数据。可靠性验证试验是用来验证设备的可靠性特征值是否符合其规定的可靠性要求的试验,一般将可靠性鉴定和验收试验统称为可靠性验证试验。
1. 如以环境条件来划分,可分为包括各种应力条件下的模拟试验和现场试验;
2. 以试验项目划分,可分为环境试验、寿命试验、加速试验和各种特殊试验;
3. 若按试验目的来划分,则可分为筛选试验、鉴定试验和验收试验;
4. 若按试验性质来划分,也可分为破坏性试验和非破坏性试验两大类。
5. 但通常惯用的分类法,是把它归纳为五大类:
A. 环境试验
B. 寿命试验
C. 筛选试验
D. 现场使用试验
E. 鉴定试验2
重要性
可靠性是与电子工业的发展密切相关的,其重要性可从电子产品发展的三个特点来加以说明。
首先,电子产品的复杂程度在不断增加。人们最早使用的矿石收音机是非常简单的,随之先后出现了各种类型的收音机、录音机、录放相机、通讯机、雷达、制导系统、电子计算机以及宇航控制设备,复杂程度不断地增长。电子产品复杂程度的显著标志是所需元器件数量的多少。而电子产品的可靠性决定于所用元器件的可靠性,因为电子产品中的任何一个元器件、任何一个焊点发生故障都将导致系统发生故障。一般说来,电子产品所用的元器件数量越多,其可靠性问题就越严重,为保证产品或系统能可靠地工作,对元器件可靠性的要求就非常高、非常苛刻。
其次,电子产品的使用环境日益严酷。从实验室到野外,从热带到寒带,从陆地到深海,从高空到宇宙空间,经受着不同的环境条件,除温度、湿度影响外,海水、盐雾、冲击、振动、宇宙粒子、各种辐射等对电子元器件的影响,导致产品失效的可能性增大。
第三,电子产品的装置密度不断增加。从第一代电子管产品进入第二代晶体管,现已从小、中规模集成电路进入到大规模和超大规模集成电路,电子产品正朝小型化、微型化方向发展,其结果导致装置密度的不断增加,从而使内部温升增高,散热条件恶化。而电子元器件将随环境温度的增高,降低其可靠性,因而元器件的可靠性引起人们的极大重视。
可靠性已经列为产品的重要质量指标加以考核和检验。长期以来,人们只用产品的技术性能指标作为衡量电子元器件质量好坏的标志,这只反映了产品质量好坏的一个方面,还不能反映产品质量的全貌。因为,如果产品不可靠,即使其技术性能再好也得不到发挥。从某种意义上说,可靠性可以综合反映产品的质量。
可靠性工程是一个综合的学科,它的发展可以带动和促进产品的设计、制造、使用、材料、工艺、设备和管理的发展,把电子元器件和其它电子产品提高到一个新的水平。正因为这样,可靠性已形成一个专门的学科,作为一个专门的技术进行研究。
主要特征
可靠性是一项重要的质量指标,只是定性描述就显得不够,必须使之数量化,这样才能进行精确的描述和比较。可靠性的定量表示有其自己的特点,由于使用场合的不同,很难用一个特征量来完全代表。
1.可靠度R或可靠度函数R(t)
产品的可靠度是指产品在规定条件下和规定时间内,完成规定功能的概率。
假设规定的时间为t,产品的寿命为T,在一批产品中的寿命有的T>t,也有的T≤t,从概率论角度可以将可靠度表示为T>t的概率,即
R(t)=P(T>t)
在数值上,某个时间的概率可用试验中该事件发生的频率来估计。
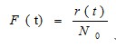
2.失效概率或积累失效概率F(t)
失效概率是表征产品在规定条件下和规定时间内,丧失规定功能的概率,也成为不可靠度。它也是时间t的函数,记作F(t),显然
F(t)=P(T≤t)
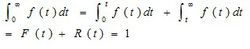
它在数值上等于1减可靠度,也就是说,产品从0开始试验(或工作)到时刻t,失效总数r(t)与初始试验(或工作)产品总数N0之比,即
积累失效概率F(t)与可靠度R(t)的关系式为
F(t)=1- R(t)
3.失效密度或失效密度函数f(t)
失效密度是表示失效概率分布的密集程度,或者说是失效概率函数的变化率。它在数值上等于在时刻t,单位时间内的实效数Δr/Δt与初始试验(或工作)产品总数N0的比值,即
同样,当N0很大时,也可用微商的形式来表示,即
其所描述的曲线成为失效密度曲线,它与横坐标轴之间的面积恰好等于1。也就是说,失效密度这个随机变量在(0,∞)范围内的概率等于1。用积分式表示有
4.平均寿命μ
平均寿命对不可修复或不值得修复的产品和可修复的产品有不同的含义。对于不可修复的产品,其寿命是指产品发生失效前的工作时间或工作次数。因此,平均寿命是指寿命的平均值,即产品在丧失规定功能前的平均工作时间,通常记作MTTF(mean time to failure)。对可修复的产品,寿命是指两次相邻故障间的工作时间,而不是指产品的报废时间。因此,对这类产品的平均寿命是指平均无故障工作时间,或称平均故障间隔时间,记作MTBF(mean time between failures)。但是,不管哪类产品,平均寿命在理论上的意义是类似的,其数学表达式也是一致的。
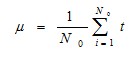
假设被试产品数位N0,产品的寿命分别为t1、t2、……tn,则他们的平均寿命为各寿命的平均值,即
当失效密度函数f(t)已知,且连续分布,那么,总体的平均寿命μ可按下式计算:
一般说来,电子元器件的平均寿命愈长,在短时间内工作的可靠性愈高。但是,可靠性与寿命虽然密切相关,又不是同一概念,不能混为一谈。不能认为可靠性高,寿命就长;也不能认为寿命长的可靠性就必然高,这与使用要求有关。通常所指的高可靠,是指产品完成要求任务的把握性特别高;而长寿命,是指产品可以用很长时间工作而性能良好。如海、地缆线通讯设备所用元器件要求使用20年而性能良好,体现了长寿命;导弹工作时间不一定长,但工作时间内(几秒、几分或半小时)要求高度可靠,万无一失,这就体现为高可靠。3
意义
1)高可靠性产品才能满足现代技术和生产的需要
现代生产技术的发展特点之一是自动化水平不断提高。一条自动化生产线是由许多零部件组成,生产线上一台设备出了故障,则会导致整条线停产,这就要求组成线上的产品要有高可靠性,上边提到的Appolo宇宙飞船正是由于高可靠性,才一举顺利完成登月计划。现代生产技术发展的另一特点设备结构复杂化,组成设备的零件多,其中一个零件发生故障会导致整机失效。如1986年美国“挑战者”号航天飞机就是因为火箭助推器内橡胶密封圈因温度低而失效,导致航天飞机爆炸和七名宇航员遇难及重大经济损失。由此可见,只有高可靠性产品才能满足现代技术和生产的需要。
2)高可靠性产品可获得高的经济效益
提高产品可靠性可获得很高的经济效益。如美国西屋公司为提高某产品的可靠性,曾作了一次全面审查,结果是所得经济效益是为提高可靠性所花费用的100倍。另外,产品的可靠性水平提高了还可大大减少设备的维修费用。1961年美国国防部预算中至少有25%用于维修费用。苏联过去有资料统计,在产品寿命期内下列产品的维修费用与购置费用之比为:飞机为5倍,汽车为6倍,机床为8倍,军事装置为10倍,可见提高产品可靠性水平会大大降低维修费用,从而提高经济效益。
3)高可靠性产品,才有高的竞争能力
只有产品可靠性提高了,才能提高产品的信誉,增强日益激烈的市场竞争能力。日本的汽车曾一度因可靠性差,在美国造成大量退货,几乎失去了美国市场。日本总结了经验,提高了汽车可靠性水平,因此使日本汽车在世界市场上竞争力很强。中国实行改革、开放的国策,现又面临加入WTO,挑战是严峻的。我们面临的是世界发达国家的竞争,如果我们的产品有高的可靠性,那就能打入激烈竞争的世界市场,从而获得巨大经济效益,促进民族工业的发展;相反,则会被别国挤出市场,甚至失去部分国内市场,由此可见生产高可靠性的产品的重要性。
实施
通常状况下,在一个公司里,先进行生产,当生产进行到一定阶段后,才开始考虑质量控制,最后随着时间的推移,产品隐含的问题慢慢暴露出来,才体会到要进行可靠性控制,才考虑到需要一名可靠性工程师。作为一名可靠性工程师,在这种情况下,如何推行可靠性工作?一般情况下,实施可靠性分为:编写计划、可靠性测试、可靠性提升、可靠性保持等四大步;
其实可靠性工作中最主要、最有效、最根本的是上面四大步之外的第五步:可靠性设计;但99%以上的公司(除军工企业外)其可靠性设计都只停留在前四步,没有充分的可靠性设计。我们也就不在这里讨论如何实施可靠性设计的问题(各位大虾在今后的工作中,应该把这为主要目标)。
你有幸成为一个公司的可靠性工程师,那么你要做的就是前面四步。
一、制定可靠性工作计划
对大部份公司来说,可靠性工作还只是在起步阶段;相当一部份公司在可靠性方面的工作也很被动,有些在客户要求提供有关可靠性的资料、数据时才开始做可靠性工作,有些甚至是在产品遭到退货后才起步做可靠性工作;很多公司在可靠性方面的工作还是空白。虽然公司领导人开始着手考虑可靠性的问题(不然,他不会招你做可靠性工程师),但是在公司而言,绝大部分人员对可靠性还是陌生的,所以最初的计划阶段就显得尤为重要。
首先,你被公司招聘为可靠性工程师,负责有关的可靠性的工作。
接着,你需要宣传可靠性工作的重要性;可靠性工作不是靠一个人的力量能完成的,要让公司上下每个人员都明白可靠性的重要性、必要性,特别是高层领导的重视。可靠性不够好的产品,依然能用,所以很容易被大部份人忽视。另外可靠性的工作,其效果在半年内很难看出来,没有领导的重视,很难顺利进行下去。你可以在适当的时候用对比性较强的数据(如以前的产品遭客户投诉/返修率,与做过可靠性的产品的客户投诉/返修率)说明可靠性的重要性。之后,编写可靠性测试计划;在对可靠性的重要性作普及性的介绍后,就可以针对该公司的产品做一些可靠性测试的计划。建议可靠性计划分两部分,第一部分是可靠性测试方案,包括测试流程、取样方法、测试方法、结果判定等具体内容;第二部分是可靠性工作目标,这部分当然是写你希望在工作期间把可靠性工作做在研发阶段,通过可靠性设计来控制公司产品质量、降低产品成本。这一个可以见的成果,计划一定要写,而且还要领导签字。第一部份是让领导知道你能做很多实际的事,第二部份是让领导知道你有大志向。
最后,推广可靠性测试计划;这是较关键的一步,其主要目的做到是让公司员工知道可靠性要测试什么,以便有针对性地提升可靠性;通过推广、讨论,还能使公司员工在更多方面达到一致,减少走弯路的可能性。可以跟生产技术部、研发部讨论可靠性测试工作,可以给市场部、生产、售后等部门开展一些培训的工作,必要时还可以请其它公司“高手”来该公司做一些讲座等等。总之,要让全公司都知道你是可靠性工程师,这样做的好处你很快就能亲身体验到。记住:不要担心你讲的内容太简单(隔业如隔山,即使有个别人对某一点理解比你深,但他知道的也不会比你全面)、不要担心培训时间太短(越短越好,只要长于10 分钟即可),不要怕(没有人是完善的,不然你年薪早超过百万美元了),你是被公司领导确认后专门做可靠性的专家。
二、执行可靠性测试
一切准备工作做好后,就开始第二步:测试产品的可靠性。在开真正测试前,还有一些准备工作,如是否有用于测试的设备等。一般来说,可靠性测试主要分为环境测试和机械测试;做环境测试你至少需要一台“温湿度交变箱”,最好还有一台低温冰箱;做机械测试在执行测试时,你至少应该有“机械振动台”,最好还有一个“机械冲击台”。一般小公司,在实验设备上不会很完善,需要你一手把它建起来(从温湿度箱到振动台、到EMC实验室….)。如果公司里什么设备都没有,那么购买一台温湿度箱是必要的(价格不高,利用率不低),机械振动台可以不买(价格较高,利用率不高;可以出资金去第三方测试)。如果在你来公司之前,公司零零散散地做过有关可靠性的测试,可能有一些人员和设备,那么你在进行可靠性测试时,就应该申请把这部份纳入你的“门”下,命名为“可靠性实验室”或“可靠性测试部”,其实可能只有一台温温度箱、一个作业人员,但没关系,
只有“自立门户”才有发展。等有了温湿度箱后,你就可以开始测试了。基本性能的测试;可靠性测试前,必须对产品的基本性能做出判断。经过性能的测试,可以将产品分为三个档次:一是良品、二是不良品、三是次品(介于良品和不良品之间,在标准左右20%的部分)。良品可以用来做可靠性测试、不良品不可以用来做可靠性测试、次品需要分析(有些是因为制作过程中的缺陷导致-这部分不可用来做可靠性测试、有些只是一些随机现象参数略有偏差-这部分可以用来做可靠性测试)。除了判断是否可以用来测试外,最主要的是还可以用来与可靠性测试后的性能做对比。可靠性测试;按测试计划,对相应的产品进行振动、高温等测试。每次测试后,需要对产品的基本性能进行测量(有些测试要求在测试过程中进行基本性能的测量);再进行对比、分析可靠性测试前后基本性能的变化,确定可靠性测试结果。测试时注意:测试过程中,让设备自动记录(最好能打印)测试环境;测试后对样品的测量最好能与样品所属阶段责任人一起。测试的变动;很多原因,导致你在实际工作过种中需要对某些测试进行相应的变动。如:①去较远的地方进行振动测试,你可以将多种产品的振动测试“集中”到一起;②有人认为测试时间太长(可靠性测试可能会在1000Hrs 左右),你应该考虑加速测试(按近似做法:温度很升高10℃,产品的寿命减半;详细做法见下一节);③如设备同时控制温湿度时在最初的上升阶段可能会超出范围,你可以改成先设定温度再设定湿度;④温度冲击测试可能由一个高温箱、一个低温箱和人工来实现(不用花30万购买温度冲击箱);⑤当需要在100℃以上时带湿度,你可以用高压锅来实现(要考虑测试的精度);等等。
不管有怎样的变动,你都应该有详细变动记录、测试记录;实际工作中的经验和方式,大家不会比我少。你会做得比我更好。
三、可靠性增长
你不能只停留在可靠性测试阶段,可靠性工作的精髓在于可靠性设计,只有做好可靠性设计/增长才能节约成本、提升产品质量。可靠性的提升主要集中在研发阶段、定型之前。一旦设计已经定型、或进入量产阶段,再想从设计上改善可靠性,已经是不太可能(浪费太多、成本太高)。而大部分公司都是因产品可靠性差、受到整个市场的要求后(返修成本增加、退货增多)才开始考虑到可靠性的,但此时产品已经投入市场!此时想把这些产品的可靠性提升到一个新的高度已经不可能,你能做的只是看着居高不下的返修率,但你必须做好下一次产品的可靠性。建议最初你把精力放在一个产品上,做好一个产品的可靠性。如何进行可靠性增长?首先,要掌握的是生产流程、制作工艺,每个流程的操作方法也是应该完全了解的。这一点,无需解释,必须做到。
其实,要学习一定的技术,至少你要掌握该公司产品的工作原理。你虽然不是研发部门,但你要责任研发产品的可靠性,完全不懂相应的技术,工作很难开展。如果是元器件产品,对用到的每种原材料及原材料的特性应该了解;如果是系统类产品,对硬件、软件、结构都应该有了解,如各模块的功能、模块之间的接口、软件的功能等等。
接着,要建立一个团队(给她一个好名字),负责可靠性增长,成员多多益善,但至少应包括:公司领导、可靠性工程师、研发工程师、生产技术、物流人员各一名。团队的力量和必要性这里我就不多说了。最后就是改善行动;当测试过程中出现不良时,必须针对不良现象进行分析、改善,将改善措施标准化,这样才能保证品质得到提升。最常用的方法就是“测试-改善-测试”,如此循环,逐步提升。需要强调的就是,每一次改善,应该认真、彻底地处理,用数据来结案。与ISO9000一样,一次改善通常包括以下几个步骤。
1.可靠性测试;按测试计划,取样进行测试;
2.现象描叙;这一部份应该尽可能详细地描叙不良现象,包含产品的名称(软硬件版本号),发生时间、地点,做到“按时间顺序记录与产品有关的所有状况”;
3.原因分析;对原因的分析,应该追根究底,找出问题的根本原因,而不是在现象之间转化,做到“人工产生此原因时,现象能完全再现”;
4.改善行动;根据分析的原因,采取对应的措施。此时应该考虑两方面:一是现有的其它产品是否也会这样的问题,如何改善;一是如何防止后续产品出现此类问题;
5.效果确认;主要确认两点:一是改善行动是否有执行;一是执行了改善行动后的产品是否还会出现这样的问题(用数据证明)。
6.形成标准;如果经确认,改善措施有效(不良率下降),就应该把这些措施写进操作规范,指导后续生产。还要考虑这种措施是否对其它类似产品也有效等问题;
7.再取样,再测试。
经过多次这种“测试-改善-测试”,产品的缺陷会越来越少,品质也就越来越好。最终,当样品进行可靠性测试时,无缺陷出现。
四、可靠性保持
可靠性保持主要是指在进行大批量生产时,产品的可靠性能稳定保持在最佳状态;较难做到的是“稳定地保持在最佳状态”,要做到这一点需要多方面的努力。
1.供应商
为了保证供应商供应的原材料稳定在最佳状态,我们可以分四步控制:
1. 认真选择供应商,确保其满足“合格供应商资格”;
2. 供货过程中,IQC检验、可靠性检验要严格执行;
3. 所有过程信息共享;检验过程中出现的问题和异常情况,应该第一时间通知供应商,寻求改善,要通过各种途径证明改善效果良好,方可结案;
4. 定期向供应商反馈品质状况,必要时开会讨论。
2.生产过程
生产是一个包含最多“变数”的过程,机械化与自动化是保证稳定的最有效因素;在未现实完全自动化的状况下,生产过程主要有以下控制点:
1. 检验投入使用的物料状况良好;
2. 检验各工位操作是否满足操作要求;
3. 检验各工位输出是否达到下一工位要求;
4. 检验产品性能是否满足成品要求;
5. 检验产品可靠性是否达到规定的要求;
3.测试
针对公司的产品进行各种测试。测试过程中,任何问题都需要给予改善,以提升产品品质。任何一个问题的出现,就是给我们指出一个前进的方向;对问题的改善,标志着品质又上升了一个台阶。有这种态度,还有什么办不到的。
其他信息
产品在使用过程中,有不同的使用环境(有些安装在室外、有些随身携带、有些装有船上等等),会受到不同环境的应力(有些受到风吹雨湿、有些受到振动与跌落、有些受到盐雾蚀侵等等),可靠性测试可以选择亿博可靠性测试中心
为了确认产品能在这些环境下正常工作,国标、行标都要求产品在环境方法模拟一些测试项目,这些测试项目包括:
1). 高温测试(高温运行、高温贮存);
2). 低温测试(低温运行、低温贮存);
3). 高低温交变测试(温度循环测试、热冲击测试);
4). 高温高湿测试(湿热贮存、湿热循环);
5). 机械振动测试(随机振动测试、扫频振动测试);
6). 汽车运输测试(模拟运输测试、碰撞测试);
7). 机械冲击测试;
8). 开关电测试;
9). 电源拉偏测试;
10).冷启动测试;
11).盐雾测试;
12).淋雨测试;
13).尘砂测试;
集成电路的可靠性
可靠性,英文为Reliability,从字面意思很容易理解,我们一般说“可靠的”,是指“可信赖的”,可靠性即可靠的性质和程度,就是指产品在使用时用户是否可以信赖它,它可以正常、准确、稳定地发挥其功能和性能的能力和程度有多高。
集成电路被喻为电子产品的大脑和心脏、国家的工业粮食、现代信息社会的基石,可见其可靠性尤为重要。半导体集成电路由于其材料的特性和器件结构、生产工艺上的特点,存在一些特有的物理效应,并在一定的条件下发生作用,可能会改变集成电路内部的形态和参数,从而使产品失效。其主要失效原理有:电迁移效应、静电放电、过电损伤、热载流子效应、闩锁效应、介质击穿、α辐射软误差效应。另外在经过贮存、使用一段时间后,在各种环境因素(如温度、湿度、机械、射线)和工作应力(电流、电压、时间、频率)的作用下,某些电性能参数将逐渐发生变化,出现如温漂、时漂等失效,或者封装质量直接影响到半导体芯片的可靠性,比如管脚易焊性差或者锈蚀导致的接触不良。
集成电路的可靠性可以分为可靠性设计、可靠性测试,都已经积累了很丰富的经验和技术规范。对于应用最广的CMOS集成电路来说,由于CMOS器件的P管和N管与衬底之间存在多个PN结,而两个背靠背的P-N结就构成了一个双极型的晶体三极管,这些晶体管并非人们想要的,不希望它们介入正常功能所需的电路中,称之为寄生器件。但在芯片使用过程中,可能会产生条件,使这些寄生晶体管被触发导通,在电源和地之间形成一个低阻通路,产生大电流,导致电路无法工作,甚至烧毁电路。这就是CMOS电路固有的Latch-up效应( 闩锁效应)。
可靠性设计
可靠性设计要求在集成电路的需求分析和设计阶段,就充分考虑芯片的使用场景和环境,制定其可靠性指标和失效容限,将预防失效和失效后保护的措施导入电路设计中。可靠性设计可以从线路、版图、工艺、封装结构几个方面来实施。例如避免闩锁效应可采用几种常见的措施:增加基区宽度(NMOS与PMOS之间的间距)、使用可以吸收注入电荷的保护环、深槽隔离等;每个厂家的工艺都有详细的指导书说明如何遵守设计规则,来控制闩锁的发生。
可靠性测试
可靠性测试则是在芯片生产后,在封装前后对集成电路本身和芯片整体进行测试,来检验其是否存在故障、失效概率有多大、可靠程度有多高,从而指导芯片应用和进行下一版设计优化。可靠性测试有很多种,有成熟的测试标准、测试方法和设备,下面选取列出部分业内常用的测试项和参考的标准。其中GJB是中国的军工标准,JESD是JEDEC固体技术协会(美国电子工业协会内辖的一个组织,后独立为固体电子行业的一个协会)发布的标准。例如闩锁测试可以按照JESD78D标准来进行,其中建立了一套定义闩锁特性和失效等级的测试方法,适用于NMOS、CMOS、双极电路以及这几种电路的组合。4
本词条内容贡献者为:
李嘉骞 - 博士 - 同济大学
责任编辑:科普云
科普中国APP
科普中国微信
科普中国微博

最新文章
-
为何太阳系所有行星都在同一平面上旋转?
新浪科技 2021-09-29
-
我国学者揭示早期宇宙星际间重元素起源之谜
中国科学报 2021-09-29
-
比“胖五”更能扛!我国新一代载人运载火箭要来了
科技日报 2021-09-29
-
5G演进已开始,6G研究正进行
光明日报 2021-09-28
-
“早期暗能量”或让宇宙年轻10亿岁
科技日报 2021-09-28
-
5G、大数据、人工智能,看看现代交通的创新元素
新华网 2021-09-28








