相量科普中国-科学百科 2018-06-19 作者:王宁 |
电路理论中,包括电气工程和电子信息工程等给出的相量的定义是恒定频率下的量,是复数,对应复数空间。
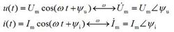
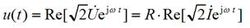
分析正弦稳态的有效方法是相量法,相量法的基础是用一个称为相量的向量或复数来表示正弦电压和电流。相量由正弦电压的振幅Um和初相ψ构成,复数的模表示电压的振幅,其辐角表示电压的初相。
相关定义
相量是电子工程学中用以表示正弦量大小和相位的矢量。当频率一定时,相量表征了正弦量。将同频率的正弦量相量画在同一个复平面中(极坐标系统),称为相量图。从相量图中可以方便的看出各个正弦量的大小及它们之间的相位关系,为了方便起见,相量图中一般省略极坐标轴而仅仅画出代表相量的矢量。

用法
相量仅适用于频率相同的正弦电路.由于频率一定,在描述电路物理量时就可以只需考虑振幅与相位,振幅与相位用一个复数表示,其中复数的模表示有效值,辐角表示初相位.这个复数在电子电工学中称为相量.
两同频率正弦量叠加,表述为:Asin(ωt+α)+Bsin(ωt+β)=(Acosα+Bcosβ)sinωt+(Asinα+Bsinβ)cosωt.易知,叠加后频率没变,相位变化,而且服从相量(复数)运算法则.故相量相加可以描述同频率正弦量的叠加.
相量的的乘除可以表示相位的变化,例如:电感Ι电压超前电流90度,用相量法表示为U=jχI,其中j为单位复数,χ为感抗.
定理
相量形式的KCL定律表示对于具有相同频率的正弦电流电路中的任一结点,流出(或流入)该结点的全部支路电流相量的代数和等于零。
相量形式的KVL定律表示对于具有相同频率的正弦电流电路中的任一回路,沿该回路全部支路电压相量的代数和等于零。
特别注意的是任一结点全部支路电流最大值(或有效值)和沿任一回路全部支路电压振幅(或有效值)的代数和并不一定等于零。
电路元件独立源
一个随时间按变化的电压和电流,可以用一个称为相量的复数来表示。已知正弦电压电流的瞬时值表达式,可以得到相应的电压电流相量。反过来,已知电压电流相量,也能够写出正弦电压电流的瞬时值表达式。

电阻元件
由电阻电压的相位与电阻电流的相位相同,U=RI有:


电容元件
由电容电流超前于电容电压90° ,I=dU/dt有:


电感元件
由电感电压的相位超前于电感电流的相位90°,U=di/dt有:


本词条内容贡献者为:
王宁 - 副教授 - 西南大学
责任编辑:科普云
科普中国APP
科普中国微信
科普中国微博

最新文章
-
为何太阳系所有行星都在同一平面上旋转?
新浪科技 2021-09-29
-
我国学者揭示早期宇宙星际间重元素起源之谜
中国科学报 2021-09-29
-
比“胖五”更能扛!我国新一代载人运载火箭要来了
科技日报 2021-09-29
-
5G演进已开始,6G研究正进行
光明日报 2021-09-28
-
“早期暗能量”或让宇宙年轻10亿岁
科技日报 2021-09-28
-
5G、大数据、人工智能,看看现代交通的创新元素
新华网 2021-09-28








