雷诺应力科普中国-科学百科 2018-04-25 作者:刘敬武 |
雷诺应力,又称湍流应力,是指雷诺方程中脉动 动量交换所引起的附加应力。它包括附加法向应力和附加剪应力。1
基本定义
流体作湍流运动时所产生的应力,除了粘性应力外尚有附加的应力,包括法向附加应力和切向附加应力,这些附加的应力都是湍流所特有的,是由于流体质点的脉动产生的 , 称为雷诺应力。雷诺应力包括湍流正应力和湍流切应力。2
对于不可压缩粘性流动,在不考虑质量力的情况下, N-S 方程具有下列形式:
式(1)
著名的不可压缩流体作湍流运动时的时均运动方程,即雷诺方程:
式(2)
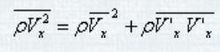
将时均运动方程和 N-S 方程相比可以看出,湍流中的应力,除了由于粘性所产生的应力外,还有由于湍流脉动运动所形成的附加应力,这些附加应力称为雷诺应力。雷诺方程与 N-S 方程在形式上是相同的,只不过在粘性应力项中多出了附加的湍流应力项。
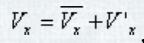
将雷诺方程与粘性流体应力形式的动量方程进行比较,由式(2)可以看出,在湍流的时均运动中,除了原有的粘性应力分量外,还多出了由脉动速度乘积的时均值

等构成的附加项,这些附加项构成了一个对称的二阶张量,即
式(3)
式(3)中的各项构成了所谓的雷诺应力。
物理意义
在稳定湍流中绕某点 M 处取一微元六面体图 1 ,考察过点 M 取与 x 轴垂直的某微元面,其面积为
。在单位时间内通过单位面积的动量为
,其时均值为
(4)
式(4)左端是单位时间内通过垂直于 x 轴的单位面积所传递的真实动量的平均值,右端第一项是同一时间内通过同一面积所传递的按时均速度计算的动量,第二项是由于 x 方向上速度脉动所传递的动量。根据动量定理,通过
面有动量传递,那么在
面上就有力的作用。
式(4) 中各项都具有力的因次,从而证明了在湍流情况下,沿 x 方向的时均真实应力,应等于时均运动情况下 x 方向上的应力加上由于湍流中的 x 方向脉动引起的附加应力。对
面来说,附加应力①与它垂直,所以是法向应力,因此称之为附加湍流正应力。
①
图 1 湍流应力分析
图 2 湍流应力分析
由于在点 M 处沿 y 方向上有脉动速度
,则在单位时间内通过微元面
(垂直于 y 轴)上的单位面积流入的质量为
如图 1 所示 ,这部分流体本身具有 x 方向的速度 ②,因而随之传递的 x 方向上的动量为
,其时均值为

②
根据时均运算关系式,③,所以
(5)
③
图 2 表示一个单位长度的流体微团因 y 方向的速度脉动
,而在单位时间内通过单位面积上增加的 x 方向上的动量的时均值,即
(6)
式(5)表明,在单位时间内通过垂直于 y 方向的
面的单位面积所传递出去的 x 方向动量为 ④,因而该单位面积就受到一个沿 x 方向的大小为④的作用力。式(6)说明了这个力的变化量。可以理解为:当流体质点由时均速度较高的流体层向时均速度较低的流体层脉动时由于脉动引起的动量传递,使低速层被加速。反过来,如果脉动由低速层向高速层发生,高速层被减速,因此这两层流体在 x 方向上各受到切应力的作用。④是湍流中流体微团的脉动造成的,称为湍流切应力,记作
。
④
湍流正应力和湍流切应力统称为雷诺应力。3
雷诺应力模型
雷诺应力模型在三维湍流流场计算中有着重要作用,可以有效的计算各向异性的湍流流场。4在各种工程实践中有着重要应用。
本词条内容贡献者为:
刘敬武 - 副教授 - 中国海洋大学
责任编辑:科普云
科普中国APP
科普中国微信
科普中国微博

最新文章
-
为何太阳系所有行星都在同一平面上旋转?
新浪科技 2021-09-29
-
我国学者揭示早期宇宙星际间重元素起源之谜
中国科学报 2021-09-29
-
比“胖五”更能扛!我国新一代载人运载火箭要来了
科技日报 2021-09-29
-
5G演进已开始,6G研究正进行
光明日报 2021-09-28
-
“早期暗能量”或让宇宙年轻10亿岁
科技日报 2021-09-28
-
5G、大数据、人工智能,看看现代交通的创新元素
新华网 2021-09-28








